[Medizinstudierende im freiwilligen Hilfseinsatz im Kontext der SARS-CoV-2-Pandemie: Zum Einfluss psychologischer Faktoren auf die Meldebereitschaft]
Luisa Mühlbauer 1Johanna Huber 2
Martin R. Fischer 2
Pascal O. Berberat 1
Martin Gartmeier 1
1 Technische Universität München, Fakultät für Medizin, Klinikum rechts der Isar, TUM Medical Education Center, München, Deutschland
2 LMU München, Institut für Didaktik und Ausbildungsforschung in der Medizin (DAM) am LMU Klinikum, München, Deutschland
Zusammenfassung
Zielsetzung: Um Personalengpässen im Zusammenhang mit der erste Welle der SARS-CoV-2-Pandemie im Frühjahr 2020 vorzubeugen, forderten die medizinischen Fakultäten der TU und der LMU München ihre Studierenden dazu auf, sich für einen freiwilligen Hilfseinsatz zu melden. Mit der vorliegenden Studie beleuchten wir den Einfluss psychologischer Faktoren hinsichtlich der Entscheidung der Studierenden, diesem Aufruf zu folgen oder dies nicht zu tun.
Methodik: Wir berichten eine Querschnittsstudie basierend auf einer Online-Umfrage unter Medizinstudierenden der TUM und der LMU München. Der Fragebogen enthielt Items zur Motivation sowie zu weiteren Rahmenbedingungen, die bzgl. der Entscheidung für oder gegen einen freiwilligen Hilfseinsatz relevant waren. Zudem wurden Fragen zu Ängsten bezüglich COVID-19, zum Auftreten depressiver Symptome sowie zur Resilienz gestellt.
Ergebnisse: Wir konnten die Antworten von 244 Teilnehmenden auswerten. Wichtige motivationale Faktoren bei den Studierenden für ein Meldung waren altruistische sowie introjizierte motivationale Motive. Bei der Gruppe der Studierenden, die sich nicht für einen Einsatz gemeldet hatten, spielten vor allem zeitliche Überschneidungen und die Auslastung durch andere Aktivitäten eine wichtige Rolle. Zwischen diesen beiden Gruppen konnte kein signifikanter Unterschied bezüglich ihrer Resilienz und ihren COVID-19 bezogenen Ängsten nachgewiesen werden. Die Gruppe der Nicht-MelderInnen berichtete jedoch eine signifikant höhere Prävalenz depressiver Symptome.
Schlussfolgerung: Pflichtgefühl und der Wunsch zu helfen waren den Angaben der Studierenden zufolge die wichtigsten Gründe, aus denen sie sich für einen Einsatz gemeldet hatten. Depressive Symptome und mangelnde Zeit haben eine Meldung unwahrscheinlicher gemacht. Resilienz und COVID-19 bezogenen Ängste scheinen keinen Einfluss auf die Entscheidung für oder gegen eine Meldung gehabt zu haben.
Schlüsselwörter
Medizinstudierende, SARS-CoV-2, Aushilfe im Krankenhaus, Motivation, Depressivität
1. Einleitung
Anfang des Jahres 2020 stellte die SARS-CoV-2-Pandemie die Gesundheitssysteme weltweit vor schwerwiegende Herausforderungen. Auch in Deutschland mussten Institutionen und Entscheidungsträger der Gesundheitsversorgung diesen Herausforderungen begegnen, als die Fallzahlen im März stark anstiegen [1]. So rief das Bundesgesundheitsministeriums am 13. März 2020 die deutschen Krankenhäuser dazu auf, freie Kapazitäten für COVID-19-Fälle zu schaffen [2]. Wenige Tage später wandten sich die medizinischen Fakultäten der Ludwig-Maximilians-Universität (LMU) und der Technischen Universität München (TUM) per E-Mail an ihre klinischen Studierenden und riefen diese auf, die Einrichtungen der Gesundheitsversorgung in der Bewältigung der Krisensituation durch ein freiwilliges Engagement zu unterstützen. Die hohe Bereitschaft der Medizinstudierenden, diesem Aufruf zu folgen hat dazu beigetragen, dass die erste Welle an SARS-CoV-2 Infektionen in Deutschland relativ gut bewältigt wurde.
Nun ist es nicht selbstverständlich, dass tatsächlich so viele Studierende diesem Aufruf gefolgt sind: Wie für die gesamte Bevölkerung war auch für die Studierenden die Situation einer Pandemie zunächst ungewohnt und potenziell bedrohlich. Es war lange nicht abzusehen, wie sich die Lage in Deutschland entwickeln würde. Drastische Fernsehbilder, u.a. aus Italien, lösten bei vielen Menschen Ängste aus. Zudem waren die Infektionszahlen unter MitarbeiterInnen im Gesundheitswesen teilweise überproportional hoch [3], [4], [5]. Daher war für die Medizinstudierenden auch nicht vorhersehbar, auf was sie sich mit ihrer Zusage zu einem klinischen Hilfseinsatz einlassen würden. Vor diesem Hintergrund gehen wir in der vorliegenden Studie zwei relevanten Fragestellungen nach: Erstens, welche motivationalen Faktoren waren bzgl. der freiwilligen Meldung einflussreich? Zweitens, welcher diesbezügliche Einfluss kam weiteren psychologischen Faktoren zu, nämlich Depressionen, Ängsten und Resilienz?
Die Beantwortung dieser Fragestellungen ist aus verschiedenen Gründen interessant und wichtig: Zum einen könnte sie einen Teil dazu beitragen, im Falle weiterer Pandemiewellen besser reagieren zu können. In dem Lagebericht des Robert Koch-Instituts aus dem Oktober 2020 heißt es; „Aktuell ist ein beschleunigter Anstieg der Übertragungen in der Bevölkerung in Deutschland zu beobachten. Daher wird dringend appelliert, dass sich die gesamte Bevölkerung für den Infektionsschutz engagiert“ [6]. Der Academy of Medical Sciences zufolge ist damit zu rechnen, dass die Fallzahlen wieder stärker ansteigen könnten und sich das Gesundheitssystem mit zusätzlichen Problemen, wie beispielsweise dem Aufstau von weniger dringenden Patienten konfrontiert sehen könnte [7]. Zum anderen werden sich auch in Zukunft wieder Epidemien oder gar Pandemien ereignen, auf die die Gesellschaft dann besser vorbereitet sein sollte. Nachfolgend erarbeiten wir die beiden Schwerpunkte der Studie und die damit verbundenen theoretischen Ausgangspunkte.
1.1. Motivationale Faktoren
Mit der Frage nach der Motivation Medizinstudierender, sich als freiwillige HelferInnen in der ersten Welle der SARS-CoV-2-Pandemie zu engagieren, knüpfen wir an aktuelle Forschung an [8], [9], [10], [11], [12]. Diese geht der Frage nach, wodurch sich Helfende in Krisensituationen, die sie möglicherweise selbst belasten und sogar gefährden, unterstützt und motiviert fühlen. Aktuelle Studien untersuchen motivational relevante Faktoren im Kontext von Freiwilligendiensten, bzw. freiwilligen Kriseneinsätzen (z.B. Ebola-Epidemie 2014-2016). Ein zentrales Ergebnis ist u. a., dass Pflichtgefühl und moralische Verantwortung [11] wichtige motivationale Faktoren darstellen. Eine weitere Studie [13] stützt sich auf das Konstrukt von Clary et al. [14], das sechs Funktionen von Freiwilligenarbeit (Werte-, Erfahrungs-, soziale Anpassungs-, Karriere-, Schutz- und Selbstwertfunktion) benennt. Befragt wurden Medizinstudierende hinsichtlich ihrer Motivation zur Freiwilligenarbeit. Am wichtigsten für die Studierenden zeigte sich die Wertefunktion (das Vertreten von Werten, die einen altruistischen und humanitären Ansatz haben). Eine weitere Studie [15], in der ebenfalls Studierenden zur SARS-CoV-2-Pandemie befragt wurden, zeigte Pflichtgefühl und Altruismus als wichtigste Einflussfaktoren hinsichtlich der Motivation Medizinstudierender zur Mithilfe in dieser Situation.
Zur Konzeptualisierung motivational relevanter Faktoren nehmen wir Bezug auf die von Deci und Ryan geprägte Selbstbestimmungstheorie der Motivation [16], [17]. Dieses Modell unterscheidet eine äußere „extrinsische“ von einer inneren „intrinsischen“ Motivation. Bei der intrinsischen Motivation spielen intrapersonale Antriebsfaktoren, wie zum Beispiel Freude an einer Tätigkeit oder Neugierde eine Rolle. Extrinsische Motivation dagegen beruht auf extrapersonalen Faktoren, wie etwa Belohnungen oder Strafen. Bei der ausgeprägtesten Form der extrinsischen Motivation, der externalen Motivation, liegen zugrundeliegende Antriebsfaktoren gänzlich außerhalb der Person, Handlungen werden unabhängig von oder sogar im Widerspruch zu inneren Einstellungen ausgeführt. Zwischen den beiden Polen der externalen und der intrinsischen Motivation unterscheidet die Selbstbestimmungstheorie die Zwischenstufen der introjizierten und identifizierten Motivation. Die introjizierte Motivation steht der externalen Motivation näher, sie kann als eine verinnerlichte Form der externalen Motivation angesehen werden, z.B. wenn die Vermeidung eines schlechten Gewissens ein relevantes Handlungsmotiv darstellt. Die identifizierte Motivation dagegen ist von höheren Anteilen der intrinsischen Motivation geprägt. Sie beinhaltet eine größere Übereinstimmung mit inneren Haltungen einer Person. Ihr liegt eine grundlegende Identifikation mit einer Handlung oder einem Ziel zugrunde [16], [17]. Zur Erfassung dieser Faktoren, stützen wir uns auf Vorarbeiten von Prenzel et al. [18] (siehe Methodenteil). Diese Autoren argumentieren, dass auch die Ausprägung des individuellen Interesses an einem bestimmten Inhaltsbereich einen motivationsrelevanten Faktor darstellt.
Bei diesem Interesse sind weniger die intrinsischen Beweggründe als die Bedeutung eines Themas an sich der Ursprung der Motivation. In Anlehnung an Prenzel et al. [18] fragen wir also nach dem Interesse und der Freude am Helfen der Studierenden (Interesse und intrinsische Motivation), nach professionellen Ambitionen sowie einem Gefühl der Verpflichtung (identifizierte und introjizierte Motivation). Am anderen Ende des Spektrums blicken wir auf externe Belohnungen (extrinsische Motivation).
Neben diesen Aspekten wurde im Rahmen der Studie eine ergänzende Liste spezifischer Gründe für bzw. gegen eine Meldung thematisiert, um auf die besonderen Umstände der SARS-CoV-2-Pandemie einzugehen. Wir gingen davon aus, dass Faktoren, wie bspw. Zeitmangel oder persönliche Hindernisse plausible Gründe gegen eine Meldung sein würden.
1.2. Depression, Ängste und Resilienz
Weitere psychologische Faktoren, die möglicherweise das Meldeverhalten beeinflussende Variablen darstellen, werden im Folgenden betrachtet. Konkret nehmen wir hier das Vorhandensein depressiver Symptome und COVID-19-bezogener Ängste sowie die Resilienz in den Blick.
Unter Depression, bzw. einer depressiven Episode verstehen wir nach [19] das Vorliegen von zwei aus drei Hauptsymptomen gedrückte Grundstimmung, Interessenverlust und Antriebsminderung über einen Zeitraum von mindestens zwei Wochen sowie das Vorliegen mindestens zweier Zusatzsymptome, wie z.B. verminderte Konzentration oder pessimistische Zunkunftserwartung. Wir gehen davon aus, dass Existenzängste und Isolation während der SARS-CoV-2-Pandemie möglicherweise bei vielen der befragten Personen verstärkt vorhanden waren und einen negativen Einfluss auf das mentale Wohlergehen hatten. Aktuelle Forschung zur Prävalenz depressiver Symptome während Gesundheitskrisen [20], [21] zeigt u.a., dass depressive Symptome während der Ebola-Epidemie unter der Bevölkerung Sierra Leones, bzw. nach der SARS-Epidemie bei Betroffenen in Taiwan, häufiger vorkamen. Daran anknüpfend stellen wir die Frage, ob sich ein Zusammenhang zwischen depressiven Symptomen und einem Engagement der Studierenden zeigt.
Weiterhin untersuchen wir, ob die Umstände der SARS-CoV-2-Pandemie bei den Studierenden spezifische Ängste auslösten. Die Einzigartigkeit der Situation, besonders die schnelle Ausbreitung, die starke mediale Präsenz, sowie die angeordneten alltagsverändernden Maßnahmen [2] machen diese Annahme plausibel. In einer Studie aus Saudi-Arabien, die im Zusammenhang mit dem Auftreten des MERS-Coronavirus durchgeführt wurde, zeigte sich ein wesentlicher Teil der befragten MitarbeiterInnen besorgt über eine mögliche Infektion [22]. Weiterhin wird ein Zusammenhang zwischen risikospezifischen Sorgen im Zusammenhang mit einer Epidemie und einem erhöhten Ergreifen von Schutzmaßnahmen angenommen [23]. So prüfen wir die Vermutung, dass eine vermehrte Angst bezüglich COVID-19 zu einem vorsichtigeren und damit möglicherweise den Krankenhausbetrieb vermeidenden Verhalten führen könnte. Dazu nutzen wir einen Fragebogen, der im Hinblick auf die Ängste im Rahmen der Schweinegrippe (H1N1-Pandemie 2009) [24] entwickelt wurde und an die aktuelle Situation angepasst wurde.
Schließlich untersuchen wir die Resilienz der Befragten als ihre psychologische Widerstandsfähigkeit im Umgang mit Stressoren. Unter Resilienz wird die Fähigkeit verstanden, trotz Belastungen Handlungsfähigkeit und Wohlbefinden aufrecht zu erhalten [25]. Gerade in Gesundheitsberufen sind Belastungen und Stressoren verstärkt vorhanden. Dementsprechend ist Resilienz als protektiver Faktor auch aktuell Gegenstand intensiver Forschung [26], [27]. Wir gehen davon aus, dass die SARS-CoV-2-Pandemie und die mit ihr einhergehenden Umstände zusätzliche, saliente Belastungsfaktoren hinsichtlich der psychischen Gesundheit der Betroffenen darstellten [28]. Bestehende Studien zeigen, dass Burnout und Stress unter Studierenden der Medizin durchaus in substanziellem Ausmaß vorkommen [29], [30]. Daher stellt sich die Frage, ob die Studierenden, die eine höhere Bereitschaft zeigten, im Rahmen der SARS-CoV-2-Pandemie im Krankenhaus tätig zu werden, ihre Resilienz höher einschätzten.
Die vorliegende Studie untersucht also zwei Fragestellungen: Erstens, welche motivationalen Faktoren beeinflussten die Medizinstudierenden, sich für einen freiwilligen Einsatz im Krankenhaus zu melden, bzw. dies nicht zu tun? Und zweitens, welche Rollen spielten Ängste bzgl. COVID-19, Resilienz sowie das Vorhandensein depressiver Symptome im Zusammenhang mit der Pandemie hinsichtlich einer Meldung, bzw. Nicht-Meldung?
2. Methodik
2.1. Ethische Aspekte
Die Teilnahme an der Studie war freiwillig und anonym. Die Probanden mussten um teilnehmen zu können einer Probandeninformation und Einwilligungserklärung zustimmen. Die Ethikkommission der TUM prüfte und genehmigte das Studienvorhaben (Prüfzeichen 281/20S).
2.2. Teilnehmer und Stichprobe
Zielgruppe der Studie waren Studierende der Medizin im klinischen Studienabschnitt an der LMU und an der TUM. Insgesamt wurden ca. 2.400 Studierende des klinischen Abschnitts (ca. 900 an der TUM und ca. 1.500 an der LMU) per Email eingeladen, an der Umfrage teilzunehmen.
2.3. Studiendesign und Instrumente
Wir führten eine multizentrische Querschnittsstudie als Online-Befragung durch. Am 14.05.2020 wurden die Studierenden der TUM und am 17.05 die der LMU per E-Mail zur Teilnahme an der Online-Umfrage eingeladen. Die Befragung wurde über die Plattform EvaSys abgewickelt. Die Umfrage fand über einen Zeitraum von 36 Tagen statt.
Größtenteils wurden validierte und bewährte Instrumente im Fragebogen verwendet. Zum Einsatz kam eine Skala zur Motivation, deren Entwicklung inhaltlich eng angelehnt war an einen Fragebogen von Prenzel et al. [18], der verschiedene Motivationsfaktoren in Kategorien untersucht. Er umfasst 15 Items auf einer sechsstufigen Einschätzungsskala (z. B: „Die Arbeit wird bezahlt“). Außerdem wurden weitere Fragen zu den spezifischen Gründen gestellt, die für (sieben Items auf einer 4-Punkte-Skala) oder gegen (acht Items auf einer 4-Punkte-Skala) eine Meldung sprechen könnten (siehe Tabelle 1 [Tab. 1] und Tabelle 2 [Tab. 2]). Diese Items wurden als Eigenentwicklung zusätzlich in den Fragenkatalog aufgenommen. In diesem Teil des Fragebogens gab es außerdem die Möglichkeit, zusätzliche Gründe per Freitext anzugeben. Weiterhin wurde zur Messung der Resilienz der Teilnehmenden die deutsche Version der 10-Item Connor-Davidson Resilience Scale [25] verwendet, die zehn Items umfasst (z. B „Ich bin fähig mich anzupassen, wenn sich etwas verändert“), welche auf einer Fünf-Punkte-Skala eingeschätzt werden. Der Patient Health Questionnaire-9 (PHQ-9) [31] kam zum Einsatz, um depressive Symptome zu erfassen. Er beinhaltet neun Items (z. B „Wenig Interesse oder Freude an Ihren Tätigkeiten“) bei denen die Zustimmung auf einer Vier-Punkte-Skala bewertet werden kann. Zusätzlich wurde das Swine Flu Inventory [24] in adaptierter Form eingesetzt, um die Ängste der Teilnehmenden bezüglich COVID-19 abzufragen. Es wurde in Hinblick auf die Sprache (original auf Englisch) und die SARS-CoV-2-Pandemie angepasst und enthielt anschließend acht Fragen, die auf einer Fünf-Punkte-Skala beantwortet werden konnten (siehe Anhang 1 [Anh. 1]).
Tabelle 1: Gründe gegen ein freiwilliges Engagement im Kontext der SARS-CoV-2-Pandemie
Tabelle 2: Gründe für ein freiwilliges Engagement im Kontext der SARS-CoV-2-Pandemie
Mittels Filterfragen wurden die Studierenden zu Beginn des Fragebogens in zwei Gruppen eingeteilt, je nachdem ob sie angaben, sich im Kontext SARS-CoV-2-Pandemie freiwillig gemeldet zu haben. Die beiden Gruppen der Melder*innen/Nicht-Melder*innen bekamen teils unterschiedliche Fragen gestellt. Die Melder*innen-Gruppe erhielt Fragen dazu, welche Faktoren sie zu einer Meldung motivierten. Die Nicht-Melder*innen-Gruppe hingegen wurde gefragt, welche Faktoren sie davon abgehalten hatten, sich für die Mithilfe zur Verfügung zu stellen.
Ansonsten wurde beiden Gruppen die 10-Item Connor-Davidson Resilience Scale, der PHQ-9 sowie das adaptierte Swine Flu Inventory vorgelegt.
2.4. Statistische Analysen
Die statistischen Analysen erfolgten mithilfe von SPSS Version 26. Die Antworten der Studierenden zu Motivationsfaktoren und zu demographischen Daten wurden deskriptiv ausgewertet bzgl. absoluter und relativer Häufigkeiten, Mittelwerten und Standardabweichungen. Als Maß der internen Konsistenz wurde Cronbach’s Alpha berechnet. Zur Bestimmung der Varianzhomogenität bei den Mittelwertvergleichen wurde der Levene-Test genutzt. Die Gruppenvergleiche bezüglich des PHQ-9 und des adaptierten Swine Flu Inventory wurden mithilfe ungepaarter t-Tests durchgeführt. Aufgrund mangelnder Varianzhomogenität wurde die 10-Item Connor-Davidson Resilience Scale mithilfe des Welch-Tests ausgewertet. Das Signifikanzniveau wurde mit 0,05 festgelegt.
3. Ergebnisse
262 Personen nahmen an der Studie teil. 18 Fragebögen wurden aus den Auswertungen wegen fehlender Zustimmung zur Probandeninformation und Einwilligungserklärung, keiner Zugehörigkeit zum klinischen Studienabschnitt oder offensichtlich irrationaler Antwortmuster ausgeschlossen. Somit standen 244 Fragebögen (10% der angeschriebenen 2.400 Studierenden) zur Auswertung zur Verfügung. 94% der verwertbaren Antworten gingen innerhalb der ersten Woche ein. Die demographischen Daten der Stichprobe sind in Tabelle 3 [Tab. 3] zusammengefasst. Die Gruppen zeigten keine nennenswerten Unterschiede hinsichtlich der hier gezeigten Merkmale. Medizinstudentinnen sind in der Befragung etwas überpräsentiert, der durchschnittliche Frauenenteil im Medizinstudium liegt mit ca. 62% [32] etwas niedriger.
Tabelle 3: Demographische Daten der Studienteilnehmer*innen
Die Überprüfung der verwendeten Skalen ergab hohe interne Konsistenz der Items zu depressiven Symptomen (Cronbach’s Alpha=.80). Die Skala zur Resilienz zeigte sich reliabel mit einem Cronbach’s Alpha=.82. Es konnte nur mäßige interne Konsistenz der acht Items zu den Ängsten bezüglich COVID-19 mit einem Cronbach’s Alpha=.56 festgestellt werden. Bei der Interpretation und Diskussion der Ergebnisse wird dies als Limitation berücksichtigt werden.
3.1. Motivation der Melder*innen
In der Gruppe der MelderInnen kamen 120 der 197 Studierenden (61%) zum Einsatz. Die ausgeübten Tätigkeiten der befragten Studierenden waren entweder ärztlicher (25%), pflegerischer (39%) oder organisatorischer (36%) Natur. Die Einsatzorte der Studierenden waren vielfältig und umfassten unter anderem Normalstationen, Intensivstationen, Corona-Screening-Stationen, Notaufnahmen, Gesundheitsämter und Labore. Hinsichtlich der Häufigkeit des Kontakts mit COVID-19 Patient*innen im Rahmen ihrer freiwilligen Tätigkeit machten die Studierenden folgende Angaben: 29% = keinen Kontakt; 42% = gelegentlichen Kontakt; 29% = täglichen Kontakt.
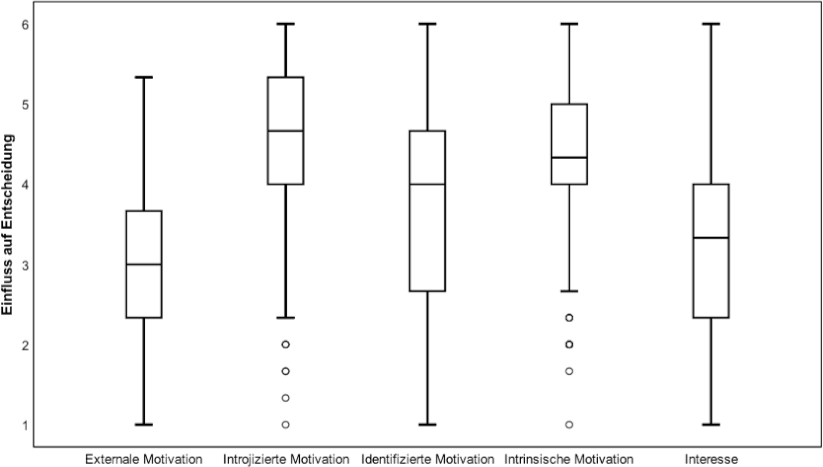
Abbildung 1 [Abb. 1] zeigt den Einfluss der verschiedenen Motivationsarten auf die Entscheidung der Gruppe der MelderInnen, sich im Rahmen der Corona-Krise zu engagieren. Die introjizierte Motivation war der einflussreichste Faktor für diese Gruppe (Median=4.7, M=4.5, SD=1.1). Dazu gehören Motivationsfaktoren wie z. B „Es gehört sich einfach als Medizinstudent/in“. Ähnlich schätzten die befragten Personen ihre intrinsische Motivation (Median=4.3, M=4.4, SD=1.0) ein. Items waren z.B. „Es macht mir Freude, in der aktuellen Situation zu helfen“. Der Mittelwert lag im Bereich der identifizierten Motivation etwas niedriger (Median=4.0, M=3.7, SD=1.3, Beispielitem „Es bringt mich meinen beruflichen Zielen näher“). Den geringsten Einfluss auf die Entscheidung der Studierenden hatten die Facetten Interesse (Median=3.3, M=3.2, SD=1.2, Beispielfrage „Ich wollte mich mit anregenden Aufgaben befassen, über die ich schon immer mehr erfahren möchte“) sowie externale Motive (Median=3.0, M=3.0, SD=1.0, Beispielfrage „Die Arbeit wird bezahlt“).
Abbildung 1: Vergleich des Einflusses der verschiedenen Motivationsarten auf die Entscheidung sich in der Corona-Krise zu engagieren
3.2. Gründe für oder gegen eine Meldung
Tabelle 1 [Abb. 1] und Tabelle 2 [Tab. 2] zeigen die spezifischen Gründe gegen bzw. für ein freiwilliges Engagement im Kontext der SARS-CoV-2-Pandemie. Ein Vergleich der Tabellen macht deutlich, welche Faktoren zusätzlich eine Rolle im Entscheidungsprozess spielten. So stellte der Grund „Anderweitige berufliche Verpflichtungen“ den größten negativen Einfluss auf die Meldungsentscheidung dar. Bemerkenswert ist außerdem, dass die „Angst vor erhöhtem Risiko Freunde oder Familie anzustecken“ als deutlich entscheidender bewertet wurde als die „Angst vor eigener Infektion“. In Tabelle 2 [Tab. 2] fällt auf, dass „Mitwirkung bei der Bekämpfung einer gesellschaftlich hochrelevanten Krise“ als sehr wichtiger Grund für eine Meldung bewertet wurde.
Allen befragten Studierenden konnten zudem in einem Freitextfeld weitere Gründe angeben (16 Personen machten Angaben in der Gruppe der Nicht-Melder*innen, 24 in der Melder*innen-Gruppe). Die Gruppe der Nicht-Melder*innen listete an dieser Stelle häufig sehr konkrete Gründe auf, weshalb sie ihre Hilfe nicht zur Verfügung gestellt haben. Einbindung durch Famulaturen oder eine Doktorarbeit spielten hier eine Rolle, aber auch gesundheitliche und organisatorische Hinderungsgründe wurden genannt.
In der Gruppe der Melder*innen waren mehr als die Hälfte der Antworten geprägt von eher allgemein formulierten, altruistischen Motiven, etwa von einem Gefühl der Verpflichtung gegenüber der Gesellschaft. „Ich wollte einfach helfen und war froh, dass ich das durch mein Studium auch konnte“, oder „Jede Hilfe war unbedingt nötig, ich bin jung und fühle mich meinen Mitmenschen gegenüber verpflichtet zu helfen, wenn ich schon das nötige Wissen dazu habe! Je älter die Menschen desto wichtiger ist es außer Dienst zu bleiben. Ich wollte es Ihnen abnehmen.“ sind exemplarische Zitate aus diesen Antworten. In weiteren Antworten fanden auch die Verdienstmöglichkeit sowie die Anrechnung der Tätigkeit für das Studium Erwähnung.
3.3. Depression, Ängste und Resilienz als weitere psychologische Einflussfaktoren
Konzentriert man sich auf die Unterschiede zwischen den beiden Gruppen bezüglich der in Tabelle 4 [Tab. 4] dargestellten psychologischen Faktoren so fällt auf, dass im Hinblick auf die Ängste der Teilnehmenden bezüglich COVID-19 kein signifikanter Unterschied nachgewiesen werden konnte t(222)=1.7, p=.088. Ein Vergleich der Resilienz zeigt ebenfalls keinen signifikanten Unterschied t(240)=1.6, p=.223. Alleine bei der Analyse der Depressivität erreichte die Gruppe der Nicht-Melder*innen signifikant höhere Summenwerte t(239)=-2.0, p=.042. Depressive Symptome waren demnach im Schnitt etwas stärker bei denjenigen Studierenden ausgeprägt, die sich nicht für einen freiwilligen Hilfseinsatz gemeldet hatten.
Tabelle 4: Vergleich der Melder- und Nicht-Melder-Gruppen im Hinblick auf depressive Symptome, Resilienz und Ängste bezüglich COVID-19
4. Diskussion
Unsere Ergebnisse weisen darauf hin, dass eher altruistische Motive und der Wunsch zu helfen die Medizinstudierenden motivierte, sich für einen Einsatz im Zuge der ersten Pandiemiewelle zu melden. Die introjizierte Motivation zeigte sich unter der Melder*innen-Gruppe als die am stärksten ausgeprägte Motivationsart. In der Gruppe der Nicht-Melder*innen waren zeitliche Überschneidungen und die Auslastung durch andere Aktivitäten die wichtigsten Gründe gegen eine Meldung. Hinsichtlich der Resilienz und der COVID-19-bezogenen-Ängste ließ sich kein signifikanter Unterschied zwischen den beiden Studierendengruppen nachweisen. Lediglich bei der Depressivität zeigten sich in der Gruppe der Nicht-Melder*innen mehr depressive Symptome.
4.1. Limitationen
Im Befragungszeitraum der Studie entwickelte sich die pandemiebedingte Situation auf dynamische Art und Weise. Die vielen Schlagzeilen zu der Pandemie könnten sich daher tagesabhängig vor allem auf die Ängste der Studierenden bezüglich COVID-19 ausgewirkt haben. Um eine möglichst hohe Vergleichbarkeit innerhalb der Antworten der Studierenden zu erzielen, verzichteten wir daher nach der initialen Mail zur Studienteilnahme auf eine Erinnerungs-E-Mail oder eine zweite Aufforderung zur Teilnahme an der Befragung. Da 94% der Antworten bereits in der ersten Befragungswoche eingingen, gehen wir davon aus, dass die Studierenden unsere Fragen unter weitgehend ähnlichen Rahmenbedingungen beantworteten.
Eine mögliche Einschränkung der Aussagekraft der Daten bei einigen Fragen liegt im Einfluss sozialer Erwünschtheit. Dies könnte beispielsweise bei dem abgefragten Faktor „Der Einsatz macht sich gut im Lebenslauf“ der Fall sein, den die Studierenden als unwichtigsten Faktor in Bezug auf ihre Motivation werteten. Weiterhin könnten die Ergebnisse im Sinne eines „Freiwilligenbias“ durch eine Übergewichtung der Studierenden verzerrt sein, die sich für einen Einsatz im Krankenhaus gemeldet hatten. In unserer Stichprobe war dies die größere Gruppe. Es ist naheliegend, dass diese Studierenden ein besonders großes Interesse an dem Thema hatten. Gleichzeitig ist denkbar, dass Nicht-Melder*innen der Befragung aus Angst davor, nicht „sozial erwünscht“ gehandelt zu haben, eher fernblieben. Weiterhin besteht die Möglichkeit, dass einem „Nicht-Melden“ und einem „Nicht-Teilnehmen“ an der Studie die gleichen individuellen Ursachen zugrunde lagen (jemand, der sich aus Zeitgründen nicht meldet, erachtet sein Zeitbudget wahrscheinlich auch zu knapp für eine Studienteilnahme), dies würde auf eine Korrelation zwischen den beiden Verhaltensweisen hindeuten. Möglicherweise ergibt sich daraus auch die deutlich niedrigere Rücklaufquote (ergo Stichprobengröße) der Nicht-Melder*innen-Gruppe. Da wir jedoch keine generalisierenden Aussagen über beide Gruppen ableiten, gehen wir von keiner substanziellen Verzerrung der gruppenspezifischen Ergebnisse aus.
4.2. Interpretation
In der vorliegenden Studie zeigten sich die introjizierte und intrinsische Motivation als sehr bedeutsam für die Studierenden. Auch wenn die vorliegende Studie unter anderen Rahmenbedingungen stattfand, entspricht dieses Ergebnis in der Tendenz den Resultaten der Studie von Fletcher und Major [13], in der verschiedene Funktionen von Freiwilligenarbeit untersucht worden waren.
Auch die Studie von Tempski et al. [15] und Kpanake et al. [11], in der Pflichtgefühl und Altruismus der Medizinstudierenden bzw. Pflichtgefühl und moralische Verantwortung als wichtigste Einflussfaktoren auf die Motivation identifiziert wurden, deckt sich tendenziell mit den Beobachtungen unserer Studie. Dies kommt neben der Ausprägung der motivationalen Faktoren auch in den Freitextantworten zum Ausdruck, in denen sowohl der Wunsch zu helfen als auch der Faktor Pflichtgefühl häufig erwähnt wurden.
Die externale Motivation der Melder*innen-Gruppe war in unserer Studie am niedrigsten ausgeprägt. Daher liegt die Vermutung nahe, dass äußere Anreize für die Studierenden im Rahmen der vorliegenden Situation kaum eine Rolle gespielt haben, da die Motivation eher in den Studierenden selbst entstand. Allerdings muss hier auch ein möglicher Einfluss sozialer Erwünschtheit als Antworttendenz auf die Ergebnisse in Betracht gezogen werden.
Durch das Gefühl von Zugehörigkeit und Autonomie kann eine weitere Internalisierung von Motiven gefördert werden [17], wodurch letztlich die introjizierte und identifizierte Motivation gestärkt wird. Zudem könnte man das Interesse der Studierenden fördern, indem die Lehre in Bezug auf SARS-CoV-2 ausgebaut wird und generelle Gesundheitskrisen verstärkt im Curriculum repräsentiert werden. Eine stärkere externale Motivation ließe sich möglicherweise durch äußere Anreize erhöhen, beispielsweise durch eine Anrechnung des freiwilligen Engagements der Studierenden im Krankenhaus als Studienleistung. Auch die stärkere Wertschätzung des Engagements könnte sich positiv auf die Motivation der Studierenden zu helfen auswirken. Da vor allem der zeitliche Faktor für die Nicht-Melder*innen-Gruppe limitierend wirkte, könnte sich eine höhere Vergütung insofern positiv auswirken. Dadurch könnte die Möglichkeit gegeben werden, den Verlust eines Zuverdienstes im Rahmen eines Nebenjobs zu kompensieren. Ein ähnlicher Effekt könnte erreicht werden, indem die studiumsbedingte Arbeitsbelastung zugunsten der Krankenhausarbeit reduziert oder die Arbeit im Krankenhaus als Studienleistung angerechnet würde. Entsprechende Möglichkeiten wurden an der LMU und an der TUM geschaffen. Die Studierenden konnten über eine Selbstauskunft ihre Tätigkeit melden und sich diese als Studienleistung anrechnen lassen.
Der statistisch nicht signifikante Unterschied zwischen den Gruppen im Hinblick auf ihre COVID-19 bezogenen Ängste steht entgegen der ursprünglich gemachten Annahme im Rahmen dieser Studie, dass die Angst einer der Hauptfaktoren sein könnte, der die Studierenden davon abhielt ihre Hilfe anzubieten. Die Deutungssicherheit ist hier jedoch aufgrund des niedrigen Cronbachs Alpha gering. Hier zeigt sich lediglich die Tendenz, dass die Angst bezüglich COVID-19 eine gewisse Rolle gespielt hat. Obwohl die Angst in der Bevölkerung aufgrund der SARS-CoV-2-Pandemie zugenommen hat [28], berichteten die hier befragten Medizinstudierenden über geringe Ängste vor einer SARS-CoV-2-Infektion [33]. Dafür zeigen unsere Ergebnisse eine deutlich höher ausgeprägte Angst der Studierenden Personen in ihrem Umfeld anzustecken (vgl. Tabelle 1 [Tab. 1]).
Weiterhin zeigte sich in unserer Studie kein maßgeblicher Einfluss der Resilienz auf die Entscheidung für oder gegen eine Meldung. Die Studierenden schätzten ihre psychologische Widerstandsfähigkeit über beide Gruppen hinweg eher hoch ein. Der ermittelte Wert lag mit 29,4 in einem ähnlichen Bereich wie in vergleichbaren Studienpopulationen (27,8 bei Montero-Marin et al. [34] und 30,1 bei Hartley [35]).
Ein interessantes Ergebnis liegt in der statistisch bedeutsamen Unterschiedlichkeit der beiden Gruppen hinsichtlich des Vorkommens depressiver Symptome. Hier berichteten die Nicht-Melder*innen eine substanziell höhere Betroffenheit. Da die Ängste bezüglich COVID-19 in den Gruppen in der Tendenz ähnlich ausgeprägt waren, scheint die spezifische Bedrohung nicht ausschlaggebend für das Auftreten depressiver Symptome gewesen zu sein. Fragebogenstudien, die während des Corona-Lockdowns im Frühjahr 2020 in der allgemeinen Bevölkerung durchgeführt wurden, geben Hinweise auf eine erhöhte Prävalenz von einer Reihe an psychischen Störungen [28], [36]. Dass die MelderInnen-Gruppe in der vorliegenden Studie weniger von solchen Problemen betroffen war, ist aus verschiedenen Perspektiven plausibel. So ist der Zusammenhang zwischen Depressivität und (vor allem körperlicher) Aktivität gut belegt [37], [38]. Der freiwillige Hilfseinsatz war für die Studierenden natürlicherweise mit Aktivität verbunden, diese könnte eine Rolle hinsichtlich der Prävention depressiver Symptome gespielt zu haben. Weiterhin wurden hier bereits Bezüge zur Selbstbestimmungstheorie der Motivation [16], [17], [18] hergestellt, dieser Ansatz beschreibt auch soziale Einbindung als wichtige Quelle individueller Motivation. Ein freiwilliger Hilfseinsatz ist mit sozialen Kontakten und sozialem Austausch verbunden und kann daher depressiven Episoden vorbeugen. Die Vorbeugung depressiver Symptome ist eine Zielsetzung, der sich Universitäten und Fakultäten widmen sollten. Präventive und unterstützende Angebote sollten von fakultärer und universitärer Seite her ausgebaut werden. Möglicherweise kann so die Bereitschaft der Studierenden für ein freiwilliges Engagement positiv beeinflusst werden.
Die Bereitschaft der Medizinstudierenden zur Mithilfe im Frühjahr 2020 war insgesamt groß. An der TUM beispielsweise hatten sich innerhalb von acht Wochen mehr als die Hälfte aller angeschriebenen Studierenden bereit erklärt zu helfen – deutlich mehr als während der ersten Pandemiewelle eingesetzt werden konnten. Für den Fall, dass die Bereitschaft in einer zukünftigen, vergleichbaren Situation geringer oder der Bedarf an zusätzlicher Hilfe deutlich größer sein sollte, ist es von Vorteil zu wissen, was die Studierenden beim ersten Mal motiviert hat sich zu engagieren. Ob und in welcher Form Medizinstudierende für Tätigkeiten im Rahmen der SARS-CoV-2-Pandemie einbezogen werden, wird in vielen Ländern unterschiedlich gehandhabt. Zudem sind viele Faktoren und Argumente denkbar, die diese Entscheidung prägen und beeinflussen [39]. Deswegen sind Haltung und Motivation der Medizinstudierenden auch als Argument für zukünftige Verfahrensweisen von Interesse. Im Hinblick auf den generellen Personalmangel in Krankenhäusern [40] ist es wichtig zu untersuchen, was Studierende dazu motiviert, bzw. was sie davon abhält, sich als Krisenhelfer zu engagieren.
5. Schlussfolgerung
Ob Medizinstudierende sich für einen Einsatz im Krankenhaus gemeldet haben oder nicht, steht unter anderem im Zusammenhang mit ihrer verfügbaren Zeit, ihrem Pflichtgefühl und dem Wunsch zu helfen. Ebenso wird eine Meldung durch die Abwesenheit depressiver Symptome begünstigt. Im Hinblick auf Resilienz und Ängste bezüglich COVID-19 scheint es keine Verbindung zu einer Meldung oder Nicht-Meldung zu geben.
Interessenkonflikt
Die Autor*innen erklären, dass sie keinen Interessenkonflikt im Zusammenhang mit diesem Artikel haben.
Literatur
[1] World Health Organisation. WHO Coronavirus Disease (COVID-19) Dashboard, Germany Situation. Geneva: World Health Organisation; 2020. Zugänglich unter/available from: https://covid19.who.int/region/euro/country/de[2] Bundesministerium für Gesundheit. Coronavirus SARS-CoV-2: Chronik der bisherigen Maßnahmen. Berlin: Bundesministerium für Gesundheit; 2020. Zugänglich unter/available from: https://www.bundesgesundheitsministerium.de/coronavirus/chronik-coronavirus.html
[3] Chou R, Dana T, Buckley DI, Selph S, Fu R, Totten AM. Epidemiology of and risk factors for coronavirus infection in health care workers: a living rapid review. Ann Intern Med. 2020;173(2):120-136. DOI: 10.7326/M20-1632
[4] Koh D. Occupational risks for COVID-19 infection. Occu Med. 2020;70(1):3-5. DOI: 10.1093/occmed/kqaa036
[5] Mittler D, Kaul M, Kempmann A, Pinkert R, Richter N. Tausende Ärzte und Pflegekräfte mit Coronavirus infiziert. Sdtsch Z. 2020. Zugänglich unter/available from: https://www.sueddeutsche.de/politik/coronavirus-aerzte-pfleger-ansteckung-1.4865774
[6] Robert Koch Institut. Täglicher Lagebericht des RKI zur Coronavirus-Krankheit-2019 (COVID-19): 19.10.2020 - Aktualisierter Stand für Deutschland. Berlin: Robert Koch Institut; 2020. Zugänglich unter/available from: https://www.rki.de/DE/Content/InfAZ/N/Neuartiges_Coronavirus/Situationsberichte/Okt_2020/2020-10-19-de.pdf?__blob=publicationFile
[7] Academy of Medical Sciences. Preparing for a challenging winter 2020/21. London: Academy of Medical Sciences; 2020. Zugänglich unter/available from: https://acmedsci.ac.uk/file-download/51353957
[8] Aguirre RT, Bolton KM. Why do they do it? A qualitative interpretive meta-synthesis of crisis volunteers' motivations. Soc Work Res. 2013;37(4):327-338. DOI: 10.1093/swr/svt035
[9] Simonson J, Vogel C, Tesch-Römer C. Freiwilliges Engagement in Deutschland. Der Deutsche Freiwilligensurvey 2014. Wiesbaden: Springer VS; 2017. DOI: 10.1007/978-3-658-12644-5
[10] Engs RC, Kirk RH. The characteristics of volunteers in crisis intervention centers. Public Health Rep. 1974;89(5):459-464.
[11] Kpanake L, Dounamou T, Sorum PC, Mullet E. What motivates individuals to volunteer in Ebola epidemic response? A structural approach in Guinea. Human Res Health. 2019;17(1):1-9. DOI: 10.1186/s12960-019-0409-x
[12] Belfroid E, Mollers M, Smit PW, Hulscher M, Koopmans M, Reusken C, Timen A. Positive experiences of volunteers working in deployable laboratories in West Africa during the Ebola outbreak. PLos One. 2018;13(4):e0196320. DOI: 10.1371/journal.pone.0196320
[13] Fletcher TD, Major DA. Medical students' motivations to volunteer: An examination of the nature of gender differences. Sex Roles. 2004;51(1-2):109-114. DOI: 10.1023/B:SERS.0000032319.78926.54
[14] Clary EG, Snyder M, Ridge RD, Copeland J, Stukas AA, Haugen J, Miene P. Understanding and assessing the motivations of volunteers: A functional approach. J Pers Soc Psychol.1998;74(6):1516-1530. DOI: 10.1037/0022-3514.74.6.1516
[15] Tempski P, Arantes-Costa FM, Kobayasi R, Siqueira MA, Torsani MM, Amaro BQ, Nascimento ME, Siqueira SL, Santos IS, Martins MA. Medical students perceptions and motivations in time of COVID-19 pandemic. medRxiv. 2020. DOI: 10.1101/2020.05.28.20115956
[16] Deci EL, Ryan RM. Overview of self-determination theory: An organismic dialectical perspective. In: Deci EL, Ryan RM, editors. Handbook of Self-Determination Research. New York: The University of Rochester Press; 2002. p.3-33.
[17] Deci EL, Ryan RM. The" what" and" why" of goal pursuits: Human needs and the self-determination of behavior. Psychol Inquiry. 2000;11(4):227-268. DOI: 10.1207/S15327965PLI1104_01
[18] Prenzel M, Kramer K, Drechsel B. Selbstbestimmt motiviertes und interessiertes Lernen in der kaufmännischen Erstausbildung-Ergebnisse eines Forschungsprojekts. In: Beck K, Krumm V, editors. Lehren und Lernen in der beruflichen Erstausbildung: Grundlagen einer modernen kaufmännischen Berufsqualifizierung. Wiesbaden: Springer VS; 2001. p.37-61. DOI: 10.1007/978-3-663-10645-6_2
[19] Härter M, Schneider F. Affektive Störungen (F3). In: Schneider F, editor. Facharztwissen Psychiatrie, Psychosomatik und Psychotherapie. Berlin, Heidelberg: Springer; 2017. p.337-363. DOI: 10.1007/978-3-662-50345-4_22
[20] Jalloh MF, Li W, Bunnell RE, Ethier KA, O'Leary A, Hageman KM, Sengeh P, Jalloh MB, Morgan O, Hersey S, Marston BJ, Dafae F, Redd JT. Impact of Ebola experiences and risk perceptions on mental health in Sierra Leone, July 2015. BMJ Glob Health. 2018;3(2):e000471. DOI: 10.1136/bmjgh-2017-000471
[21] Ko CH, Yen CF, Yen JY, Yang MJ. Psychosocial impact among the public of the severe acute respiratory syndrome epidemic in Taiwan. Psychiatry Clin Neurosci. 2006;60(4):397-403. DOI: 10.1111/j.1440-1819.2006.01522.x
[22] Alsubaie S, Hani Temsah M, Al-Eyadhy AA, Gossady I, Hasan GM, Al-Rabiaah A, Jamal AA, Alhaboob AA, Alsohim F, Somily AM. Middle East Respiratory Syndrome Coronavirus epidemic impact on healthcare workers' risk perceptions, work and personal lives. J Infect Dev Ctries. 2019;13(10):920-926. DOI: 10.3855/jidc.11753
[23] Liao Q, Cowling BJ, Lam WW, Ng DM, Fielding R. Anxiety, worry and cognitive risk estimate in relation to protective behaviors during the 2009 influenza A/H1N1 pandemic in Hong Kong: ten cross-sectional surveys. BMC Infect Dis. 2014;14:169. DOI: 10.1186/1471-2334-14-169
[24] Wheaton MG, Abramowitz JS, Berman NC, Fabricant LE, Olatunji BO. Psychological predictors of anxiety in response to the H1N1 (swine flu) pandemic. Cogn Ther Res. 2012;36(3):210-218. DOI: 10.1007/s10608-011-9353-3
[25] Sarubin N, Gutt D, Giegling I, Bühner M, Hilbert S, Krähenmann O, Wolf M, Jobst A, Sabaß L, Rujescu D, Falkai P, Padberg F. Erste Analyse der psychometrischen Eigenschaften und Struktur der deutschsprachigen 10- und 25-Item Version der Connor-Davidson Resilience Scale (CD-RISC). Z Gesundheitspsychol. 2015;23(3):112-122. DOI: 10.1026/0943-8149/a000142
[26] Robertson HD, Elliott AM, Burton C, Iversen L, Murchie P, Porteous T, Matheson C. Resilience of primary healthcare professionals: a systematic review. Br J Gen Pract. 2016;66(647):e423-e433. DOI: 10.3399/bjgp16X685261
[27] McCann CM, Beddoe E, McCormick K, Huggard P, Kedge S, Adamson, Huggard J. Resilience in the health professions: A review of recent literature. Int J Wellbeing. 2013;3(1):60-81. DOI: 10.5502/ijw.v3i1.4
[28] Gilan D, Röthke N, Blessin M, Kunzler A, Stoffers-Winterling J, Müssig M, Yuen KS, Tüscher O, Thrul J, Kreuter F, Sprengholz P, Betsch C, Stieglitz RD, Lieb K. Psychische Belastungen, Resilienz, Risiko- und protektive Faktoren während der SARS-CoV-2-Pandemie. Dtsch Ärtztebl. 2020;117(38):625-632.
[29] Dyrbye LN, Power DV, Massie FS, Eacker A, Harper W, Thomas MR, Szydlo DW, Sloan JA, Shanafelt TD. Factors associated with resilience to and recovery from burnout: a prospective, multi-institutional study of US medical students. Med Educ. 2010;44(10):1016-1026. DOI: 10.1111/j.1365-2923.2010.03754.x
[30] Heinen I, Bullinger M, Kocalevent RD. Perceived stress in first year medical students-associations with personal resources and emotional distress. BMC Med Educ. 2017;17(1):4. DOI: 10.1186/s12909-016-0841-8
[31] Löwe B, Spitzer RL, Zipfel S, Herzog W. Autorisierte deutsche Version des "Prime MD Patient Health Questionnaire (PHQ)". Heidelberg: Universität Heidelberg; 2002. Zugänglich unter/available from: https://www.klinikum.uni-heidelberg.de/fileadmin/Psychosomatische_Klinik/download/PHQ_Manual1.pdf
[32] Statistisches Bundesamt. Studierende insgesamt und Studierende Deutsche im Studienfach Medizin nach Geschlecht. Hannover: Statistisches Bundesamt; 2020. Zugänglich unter/available from: https://www.destatis.de/DE/Themen/Gesellschaft-Umwelt/Bildung-Forschung-Kultur/Hochschulen/Tabellen/lrbil05.html#fussnote-1-242500
[33] Müller L, Heymanns M, Harder L, Winter J, Gehring S, Düber C, Mähringer-Kunz A, Kloeckner R. Medical Students' Commitment during the SARS-CoV-2 Pandemic: Preparedness, Motivation, and Impact on Students' Skills. Res Square. 2020. DOI: 10.21203/rs.3.rs-37069/v1
[34] Montero-Marin J, Piva Demarzo MM, Pereira JP, Olea M, García-Campayo J. Reassessment of the psychometric characteristics and factor structure of the 'Perceived Stress Questionnaire'(PSQ): analysis in a sample of dental students. Plos One. 2014;9(1):e87071. DOI: 10.1371/journal.pone.0087071
[35] Hartley MT. Assessing and promoting resilience: An additional tool to address the increasing number of college students with psychological problems. J Coll Couns. 2012;15(1):37-51. DOI: 10.1002/j.2161-1882.2012.00004.x
[36] Munk AJ, Schmidt NM, Alexander N, Henkel K, Hennig J. Covid-19-Beyond virology: Potentials for maintaining mental health during lockdown. Plos One. 2020;15(8):e0236688. DOI: 10.1371/journal.pone.0236688
[37] Schuch FB, Vancampfort D, Firth J, Rosenbaum S, Ward PB, Silva ES, Hallgren M, Ponce De Leon A, Dunn AL, Deslandes AC, Fleck MP, Carvalho AF, Stubbs B. Physical activity and incident depression: a meta-analysis of prospective cohort studies. Am J Psychiatry. 2018;175(7):631-648. DOI: 10.1176/appi.ajp.2018.17111194
[38] Kandola A, Ashdown-Franks G, Hendrikse J, Sabiston CM, Stubbs B. Physical activity and depression: towards understanding the antidepressant mechanisms of physical activity. Neurosci Biobehav Rev. 2019;107:525-539. DOI: 10.1016/j.neubiorev.2019.09.040
[39] Klasen JM, Vithyapathy A, Zante B, Burm S. "The storm has arrived": the impact of SARS-CoV-2 on medical students. Persp Med Educ. 2020;9(3):181-185. DOI: 10.1007/s40037-020-00592-2
[40] Deutsche Krankenhaus Gesellschaft. Krankenhaus Barometer: Umfrage 2019. Berlin: Deutsche Krankenhaus Gesellschaft; 2019. Zugänglich unter/available from: https://www.dkgev.de/fileadmin/default/Mediapool/3_Service/3.4._Publikationen/3.4.5._Krankenhaus_Barometer/Krankenhaus_Barometer_2019.pdf
Anhänge
| Anhang 1 | Anhang 1 (Anhang_1.pdf, application/pdf, 81.86 KBytes) |



